-
#3 DFS/BFSAlgorithm/유형정리 2021. 11. 17. 16:24
DFS(Depth-First Search)
DFS는 깊이 우선 탐색이라고도 부르며 그래프에서 깊은 부분을 우선적으로 탐색하는 알고리즘이다. DFS는 스택 자료구조를 이용하며 구체적인 동작 과정은 다음과 같다.
- 탐색 시작 노드를 스택에 삽입하고 방문 처리를 한다.
- 스택의 최상단 노드에 방문하지 않은 인접 노드가 있으면 그 인접 노드를 스택에 넣고 방문 처리를 한다. 방문하지 않은 인접노드가 없으면 스택에서 최상단 노드를 꺼낸다.
- 2번의 과정을 더 이상 수행할 수 없을 때까지 반복한다.
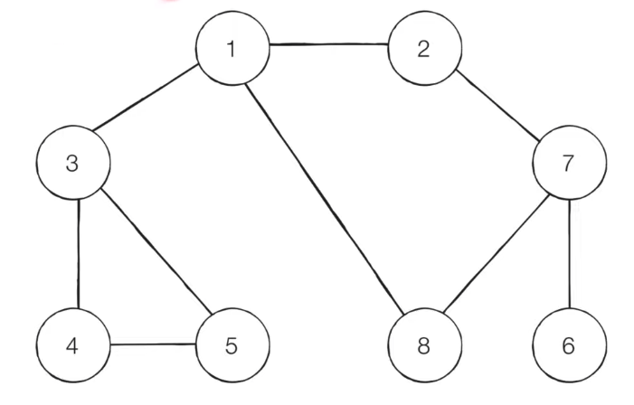
DFS 탐색 과정

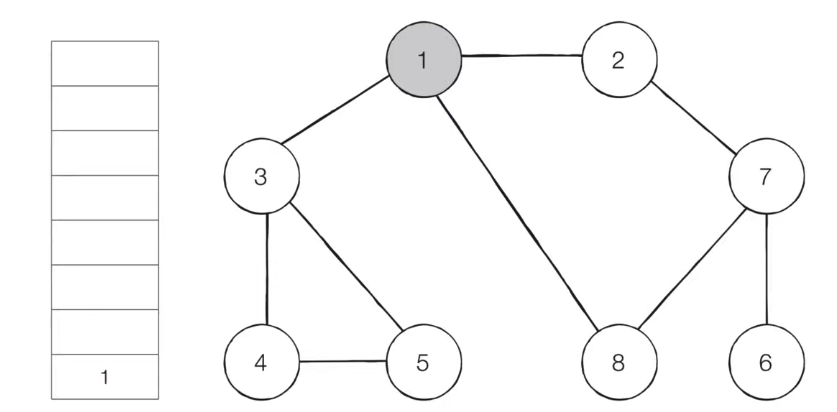
이 그래프를 노드 1을 시작으로 DFS를 사용해 탐색이 진행되는 과정을 살펴보도록 하겠다.
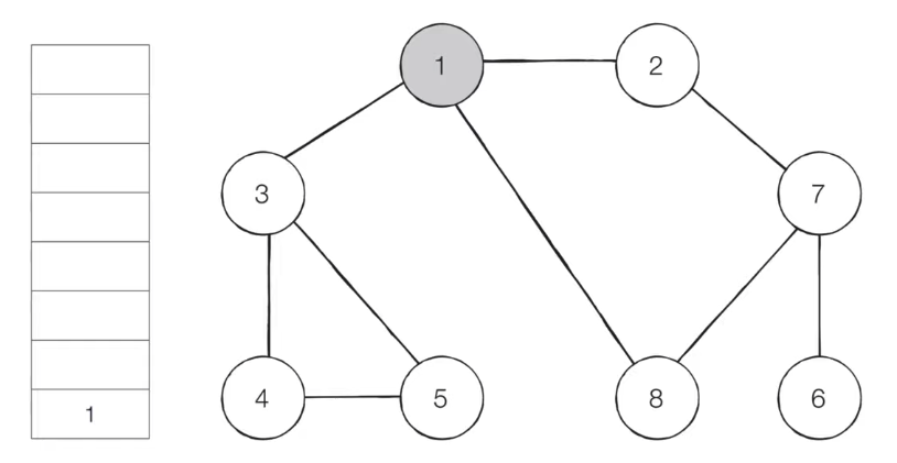
- [Step 1] 시작 노드인 '1'을 스택에 삽입하고 방문 처리 한다

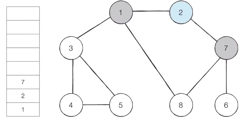
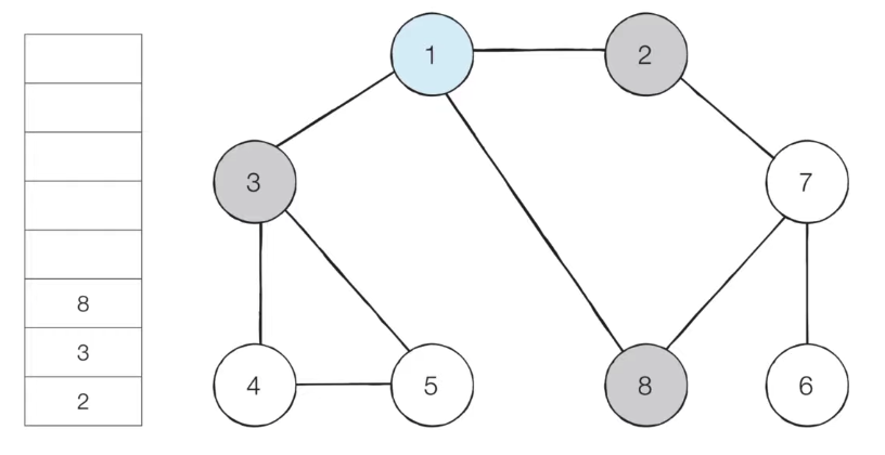
- [Step 2] 스택의 최상단 노드인 '1'에 방문하지 않은 인접 노드 '2', '3', '8'이 있다. 이 중에서 가장 작은 노드인 '2'를 스택에 넣고 방문 처리를 한다

- [Step 3] 스택의 최상단 노드인 '2'에 방문하지 않은 인접 노드 '7'이 있다. 따라서 '7'번 노드를 스택에 넣고 방문 처리를 한다

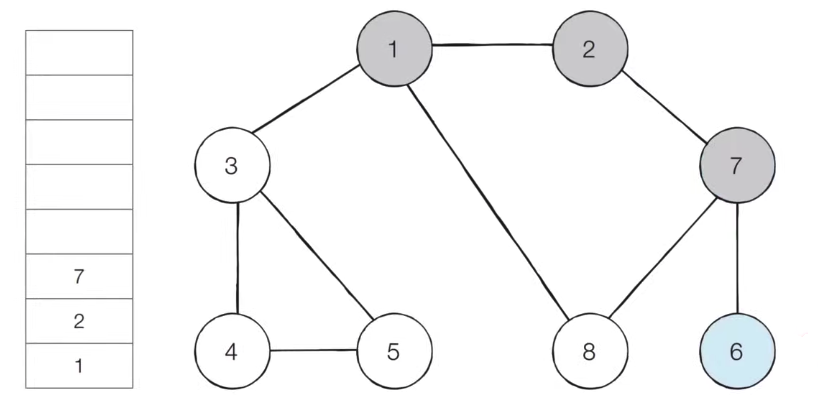
- [Step 4] 스택의 최상단 노드인 '7'에 방문하지 않은 인접 노드 '6', '8'이 있다. 이 중에서 가장 작은 노드인 '6'을 스택에 넣고 방문 처리를 한다

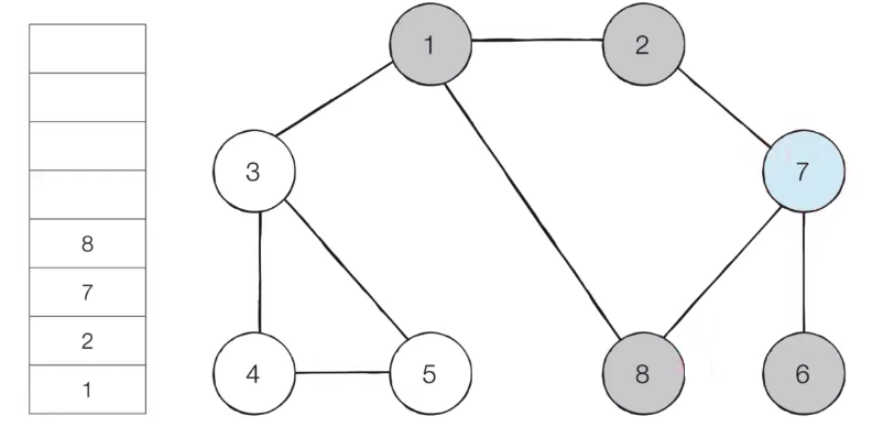
- [Step 5] 스택의 최상단 노드인 '6'에 방문하지 않은 인접 노드가 없다. 따라서 스택에서 '6'번 노드를 꺼낸다

- [Step 6] 스택의 최상단 노드인 '7'에 방문하지 않은 인접 노드 '8'이 있다. 따라서 '8'번 노드를 스택에 넣고 방문 처리를 한다

- 이러한 과정을 반복하였을 때 전체 노드의 탐색 순서(스택에 들어간 순서)는 다음과 같다

DFS 예제 코드
# DFS 함수 정의 def dfs(graph, v, visited): # 현재 노드를 방문 처리 visited[v] = True print(v, end=' ') # 현재 노드와 연결된 다른 노드를 재귀적으로 방문 for i in graph[v]: if not visited[i]: dfs(graph, i, visited) # 각 노드가 연결된 정보를 리스트 자료형으로 표현(2차원 리스트) graph = [ [], [2, 3, 8], [1, 7], [1, 4, 5], [3, 5], [3, 4], [7], [2, 6, 8], [1, 7] ] # 각 노드가 방문된 정보를 리스트 자료형으로 표현(1차원 리스트) visited = [False] * 9 # 정의된 DFS 함수 호출 dfs(graph, 1, visited)실행 결과
1 2 7 6 8 3 4 5BFS (Breadth-First Search)
BFS는 너비 우선 탐색이라고도 부르며, 그래프에서 가까운 노드부터 우선적으로 탐색하는 알고리즘이다. BFS는 큐 자료구조를 이용하며, 구체적인 동작 과정은 다음과 같다
- 탐색 시작 노드를 큐에 삽입하고 방문 처리를 합니다
- 큐에서 노드를 꺼낸 뒤에 해당 노드의 인접 노드 중에서 방문하지 않은 노드를 모두 큐에 삽입하고 방문 처리한다
- 더 이상 2번의 과정을 수행할 수 없을 때까지 반복한다
BFS탐색 과정
DFS와 마찬가지로 다음과 같은 그래프로 BFS 탐색 과정을 살펴보도록 하겠다.

- [Step 1] 시작 노드인 '1'을 큐에 삽입하고 방문 처리를 한다

- [Step 2] 큐에서 노드 '1'을 꺼내 방문하지 않은 인접 노드 '2', '3', '8'을 큐에 삽입하고 방문 처리한다

- [Step 3] 큐에서 노드 '2'를 꺼내 방문하지 않은 인접 노드 '7'을 큐에 삽입하고 방문 처리한다

- [Step 4] 큐에서 노드 '3'을 꺼내 방문하지 않은 인접 노드 '4', '5'를 큐에 삽입하고 방문 처리한다

- [Step 5] 큐에서 노드 '8'을 꺼내고 방문하지 않은 인접 노드가 없으므로 무시한다

- 이러한 과정을 반복하여 전체 노드의 탐색 순서(큐에 들어간 순서)는 다음과 같다

BFS 예제 코드
from collections import deque # BFS 함수 정의 def bfs(graph, start, visited): # 큐(Queue) 구현을 위해 deque 라이브러리 사용 queue = deque([start]) # 현재 노드를 방문 처리 visited[start] = True # 큐가 빌 때까지 반복 while queue: # 큐에서 하나의 원소를 뽑아 출력 v = queue.popleft() print(v, end=' ') # 해당 원소와 연결된, 아직 방문하지 않은 원소들을 큐에 삽입 for i in graph[v]: if not visited[i]: queue.append(i) visited[i] = True # 각 노드가 연결된 정보를 리스트 자료형으로 표현(2차원 리스트) graph = [ [], [2, 3, 8], [1, 7], [1, 4, 5], [3, 5], [3, 4], [7], [2, 6, 8], [1, 7] ] # 각 노드가 방문된 정보를 리스트 자료형으로 표현(1차원 리스트) visited = [False] * 9 # 정의된 BFS 함수 호출 bfs(graph, 1, visited)실행결과
1 2 3 8 7 4 5 6'Algorithm > 유형정리' 카테고리의 다른 글
#2 Implementation (0) 2021.11.07 #1 Greedy Algorithm (0) 2021.10.27